Nutraceutici e Integratori per le Difese Immunitarie
- 20 Ott, 2024
- Rimedi naturali e consigli
Guida Completa 2024
Indice dei Contenuti
- Le piante ideali per rafforzare le difese immunitarie
- I nutraceutici più efficaci per le difese immunitarie
- I nutrienti dell’immunità
- FAQ
Stai cercando un metodo naturale per potenziare il tuo sistema immunitario? I nutraceutici rappresentano una soluzione scientificamente provata per supportare il sistema immunitario. In questa guida completa, esploreremo i 10 ingredienti più efficaci supportati dalla ricerca scientifica. Analizzeremo 4 piante medicinali, 3 nutraceutici e 3 nutrienti.
Le piante ideali per rafforzare le difese immunitarie
Andrographis: L'Antibiotico Naturale
Benefici principali:
Riduce la durata delle infezioni respiratorie
Proprietà antinfiammatorie naturali
Supporto immunitario
Approfondimento: L'Andrographis, conosciuta come il "re degli amari", è una pianta erbacea annuale, ampiamente diffusa e coltivata nelle regioni tropicali e subtropicali dell’Asia, dell’Asia Sudorientale e dell’India. La parte di pianta di interesse fitoterapico è rappresentata dalle parti aeree e dalle foglie che contengono principalmente lattoni diterpenici tra cui il più importante l’andrografolide. Tradizionalmente utilizzata nella Medicina Ayurvedica contro l'ittero, come tonico generale del fegato e dell'apparato digerente e come stimolante del sistema immunitario per il trattamento e la prevenzione delle infezioni. Tra gli utilizzi terapeutici avvalorati da studi clinici figurano la profilassi e il trattamento sintomatico delle infezioni delle vie respiratorie superiori, come il raffreddore e le sinusiti non complicate, le bronchiti e le faringotonsilliti, nonché le infezioni del basso tratto urinario e la diarrea acuta. Nella medicina tradizionale, veniva impiegata per trattare vari disturbi, tra cui la dissenteria bacillare, la bronchite, le infezioni cutanee, la colite, la tosse, la dispepsia, la febbre, l'epatite, la malaria, le ulcere orali, le ferite, la tubercolosi e i morsi di serpenti velenosi. In Thailandia il Ministero della Salute Pubblica ha inserito l’Andrographis paniculata come una delle piante medicinali essenziali incluse nell'elenco nazionale della Thailandia delle Medicinali Essenziali, e utilizzata negli ospedali e nei servizi di sanità pubblica.
Consiglio pratico: Per massimizzare i benefici, inizia l'assunzione ai primi sintomi dell’influenza.

Echinacea: Il Booster Immunitario
Benefici principali:
Stimola l'attività dei macrofagi
Stimola la produzione di citochine
Efficace contro i sintomi del raffreddore
Approfondimento: Le specie del genere Echinacea sono piante erbacee, native del versante Atlantico degli Stati Uniti d’America e del Canada. La parte attiva della pianta è la radice che contiene principalmente un olio volatile, le alcammidi, i polialcheni e i polialchini, i derivati dell’acido caffeico e i polisaccaridi (fra i quali arabinogalattani ed arabinoxilani). I derivati degli esteri dell’acido caffeico presenti nella radice comprendono l’echinacoside, la cinarina e l’acido cicorico. Le formulazioni di Echinacea angustifolia sono utilizzate per via orale come supporto nel trattamento del raffreddore e delle infezioni sia delle vie respiratorie che del tratto urinario.
Consiglio pratico: Per massimizzare i benefici, inizia l'assunzione ai primi sintomi dell’influenza.

Astragalo: La Pianta Adattogena per il Sistema Immunitario
Benefici principali:
Aumenta la produzione di globuli bianchi
Ha un’azione adattogena potenziando la forza vitale e la resistenza dell’organismo
Supporto nella prevenzione delle infezioni
Approfondimento: L’Astragalo è una pianta erbacea perenne indigena in Cina, Corea, Mongolia e Siberia. La parte attiva della pianta è la radice che contiene principalmente saponine triterpeniche (astragalosidi I- X e isoastragalosidi I-IV), polisaccaridi (e.g. astragalano, astraglucano), flavonoidi e isoflavoni. Le Farmacopee e i dati raccolti nella medicina tradizionale suggeriscono l'impiego dell'Astragalo come terapia complementare nel trattamento del raffreddore e dell’influenza. La pianta è usata per potenziare il sistema immunitario e per aumentare la forza vitale e la resistenza dell’organismo. Nella Medicina Cinese viene tradizionalmente usato come tonico per rafforzare il sistema immunitario, per le infezioni virali e l’affaticamento essendo un tonico del Qi. “L’Astragalo cresce al tenue sole del nord, dove la terra è dura e forte e come egli è forte così rende forte chi lo usa”, così gli antichi medici cinesi e tibetani descrivevano l’Astragalo e le sue indubbie capacità di rinforzare e rendere resistente il corpo. È una pianta adatta a ricostruire le riserve energetiche sia in senso fisico che psichico nei soggetti sottoposti a particolari stress e sforzi: rinforza la digestione e il sistema immunitario, stimola il metabolismo, promuove la guarigione di ferite e abrasioni. Viene attualmente utilizzato anche come protettore del fegato, come coadiuvante nella chemioterapia e nell'immunità compromessa.
Consiglio pratico: Per massimizzare i benefici, inizia l'assunzione ai primi sintomi dell’influenza.

Uncaria: La Pianta Adattogena per il Sistema Immunitario
Benefici principali:
Proprietà antiossidanti e antinfiammatorie
Ha un’azione benefica anche in caso di disturbi articolari
Supporto nella prevenzione delle infezioni
Approfondimento: L'Uncaria tomentosa, nota comunemente anche come "unghia di gatto", è una pianta Amazzonica, rinomata per le sue potenti proprietà antiossidanti e antinfiammatorie. La corteccia è la componente attiva della pianta e ospita una varietà complessa di alcaloidi ossindolici pentaciclici, come pteropodina, isopteropodina, rincofillina, isorincofillina, mitrafillina e isomitrafillina, tutti riconosciuti per le loro proprietà di modulazione del sistema immunitario. Questi alcaloidi possono influenzare il sistema immunitario, contribuendo ad aumentare la resistenza alle infezioni. Nella tradizione andina, l'Uncaria è impiegata per la cura di ferite, ulcere e febbri e viene utilizzata anche nelle malattie infiammatorie reumatiche.
Consiglio pratico: Per massimizzare i benefici, inizia l'assunzione ai primi sintomi dell’influenza.
I nutraceutici più efficaci per le difese immunitarie
Beta-glucani: Il Booster Immunitario
Benefici principali:
Stimolazione della fagocitosi
Attivazione delle cellule NK e Linfociti T
Potente azione immunostimolante
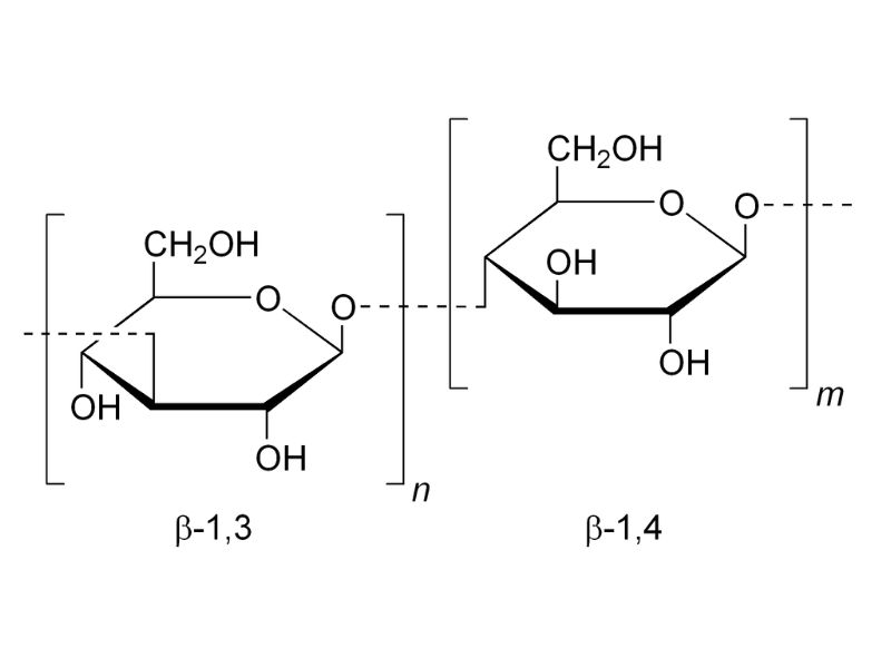
Approfondimento: I β-glucani sono polisaccaridi lineari del glucosio, legati con legami glicosidici in posizione β-(1-3), da cui si dipartono ramificazioni di glucosio connesse con legami β-(1-6). Vengono isolati prevalentemente dalle strutture parietali dei funghi ma si ritrovano anche in altre fonti quali ad esempio alcuni batteri, lieviti, alghe e cereali. Sono molecole che vengono riconosciute dal sistema immunitario come estranee e a seguito dell’assunzione per via orale vengono captati dalle cellule M, localizzate a livello del piccolo intestino, e trasportati dal lume intestinale alle cellule del sistema immunitario localizzate nelle placche del Peyer. Studi effettuati in vivo ed in vitro hanno evidenziato che i betaglucani contenenti un legame β-(1-3)-(1-6) sono in grado di attivare il recettore della Dectina-1 e indurre il processo di fagocitosi, promuovere la differenziazione delle cellule T in Th1 e migliorare la citotossicità dei linfociti T. Inoltre, i β-glucani si legano ai Recettori Toll-Like (TLR2) modulando la risposta infiammatoria che nel complesso porta ad un’attivazione delle cellule Natural killer (NK) e dei linfociti T.
Consiglio pratico: Per massimizzare i benefici, inizia l'assunzione in autunno, prima dei sintomi influenzali.

Lattoferrina: La Proteina Multifunzionale
Benefici principali:
Proprietà antimicrobiche
Modulazione della risposta immunitaria
Inibizione della crescita dei patogeni
Approfondimento: La lattoferrina è una glicoproteina presente nel latte e in altri fluidi corporei, nota per le sue potenti proprietà antimicrobiche e immunomodulanti. Legando il ferro, la lattoferrina sottrae questo elemento essenziale ai patogeni, inibendone la crescita. Inoltre, la lattoferrina può modulare la risposta immunitaria, promuovendo una maggiore resistenza alle infezioni. Clicca qui per saperne di più.
Consiglio pratico: Per massimizzare i benefici, inizia l'assunzione in autunno, prima dei sintomi influenzali.

Propoli: L’Oro delle Api per l'Inverno
Benefici principali:
Proprietà antimicrobiche e antisettiche
Proprietà antiossidanti e antinfiammatorie
Proprietà immunostimolanti e antiallergiche
Approfondimento: La propoli è un materiale resinoso di colore marrone-rossastro prodotto dalle api mellifere (Apis mellifera) a partire da resine di vari alberi. Le api la usano per costruire e proteggere gli alveari. La composizione chimica della propoli è molto variabile, ma le componenti principali sono resine, olio essenziale, cera e polline. Tra i composti minori troviamo numerosi flavonoidi (es. galangina), composti fenolici, tra cui l’acido caffeico e l’estere feniletilico dell’acido caffeico (CAPE), aminoacidi, zuccheri, vitamine e sali minerali. Viene utilizzata per le proprietà antiossidanti, antisettiche, antimicrobiche ad ampio spettro, antivirali, antinfiammatorie, immunostimolanti, antiallergiche, cardioprotettive, antidiabetiche e chemiopreventive. I flavonoidi e i composti fenolici, in particolare il CAPE, sono considerati i principali composti attivi. La propoli può ridurre l’infiammazione e lo sviluppo di infezioni respiratorie grazie alla presenza di flavonoidi e derivati dell’acido caffeico. Questi composti interferiscono con vari processi vitali dei batteri, causandone la morte, e, nel caso delle infezioni virali, prevengono l’ingresso dei virus nelle cellule ospiti e inibiscono gli enzimi coinvolti nella replicazione virale. Inoltre, contrastano il processo infiammatorio inibendo gli enzimi responsabili della produzione dei mediatori dell’infiammazione.
Consiglio pratico: Per massimizzare i benefici, inizia l'assunzione in autunno, prima dei sintomi influenzali.
I nutrienti dell’immunità
Vitamina C (acido ascorbico): Lo Scudo per le Tue Difese
Benefici principali:
Protezione contro lo stress ossidativo
Riduzione della durata delle infezioni respiratorie
Aumenta la resistenza dell’organismo
Approfondimento: La Vitamina C svolge un ruolo cruciale nel rafforzare le difese dell'organismo, migliorando l'attività dei fagociti e stimolando la produzione di anticorpi. Essa promuove la sintesi di interferone e la biosintesi della carnitina, contribuendo anche alla neutralizzazione dei radicali liberi ossigenati. Inoltre, la vitamina è coinvolta nei processi di respirazione cellulare e nello sviluppo dei fibroblasti, oltre a favorire la sintesi del collagene e la produzione di ormoni surrenalici. Supporta anche l'assorbimento di minerali come ferro, zinco, calcio e magnesio, e aiuta a mitigare gli effetti tossici di diverse sostanze, inclusi composti azotati e tossine batteriche.
Consiglio pratico: Per massimizzare i benefici, inizia l'assunzione in autunno, prima dei sintomi influenzali.

Vitamina D: La forza del Sole
Benefici principali:
Regolazione della risposta immunitaria
Riduzione del rischio di infezioni respiratorie
Supporto alla salute delle ossa
Approfondimento: La vitamina D si riferisce a un gruppo di secosteroidi che giocano un ruolo fondamentale nella regolazione del metabolismo minerale, in particolare del calcio e della salute ossea. Le due forme principali di vitamina D, la D3 (colecalciferolo) e la D2 (ergocalciferolo), differiscono leggermente nella loro struttura chimica ma condividono un percorso metabolico simile. La vitamina D3 è presente in piccole quantità in alimenti di origine animale, come fegato, olio di fegato di merluzzo, alcuni pesci, formaggi grassi, burro e uova; tuttavia, è per lo più sintetizzata nella pelle umana attraverso l'esposizione ai raggi ultravioletti, a partire dal 7-deidrocolesterolo. La vitamina D2, invece, è generata esclusivamente da vegetali tramite irradiazione UVB, partendo dall'ergosterolo. È importante notare che le due forme non sono equivalenti né possono essere utilizzate in modo intercambiabile. La carenza di vitamina D sta diventando sempre più diffusa nella popolazione, con conseguenze che vanno oltre i problemi ossei, come una maggiore vulnerabilità alle infezioni batteriche e virali, e un incremento del rischio di patologie autoimmuni in individui predisposti, tra cui diabete di tipo 1, sclerosi multipla, artrite reumatoide e lupus. Pertanto, la vitamina D è cruciale non solo per mantenere l'equilibrio del calcio e la salute ossea, ma anche per modulare le risposte immunitarie sia innate che adattive. Essa influisce su varie cellule del sistema immunitario, come neutrofili, macrofagi, cellule dendritiche, cellule B e cellule T, contribuendo a inibire la proliferazione delle cellule B e a bloccare la loro differenziazione, oltre a limitare la produzione di immunoglobuline e a sopprimere la crescita delle cellule T. Queste azioni possono comportare una riduzione dell'infiammazione e dei processi infiammatori a livello sistemico.
Consiglio pratico: Per massimizzare i benefici, inizia l'assunzione in autunno, prima dei sintomi influenzali.

Zinco: Il Minerale essenziale per Difese Forti
Benefici principali:
Regolazione della risposta immunitaria
Riduzione del rischio di infezioni respiratorie
Contribuisce alla sintesi del DNA e alla divisione cellulare
Approfondimento: Lo zinco è un oligoelemento essenziale per gli organismi viventi e i loro processi biologici, presente in tutti i tessuti del corpo umano, soprattutto a livello intracellulare. Lo zinco funge da cofattore per più di 300 enzimi, tra cui la superossido dismutasi, l'alcol deidrogenasi e numerose proteasi. Importante risulta la sua azione per il mantenimento della normale funzione del sistema immunitario, infatti e un elemento essenziale per il suo funzionamento influenzando la proliferazione delle cellule del sistema immunitario e quindi mettendo attivamente in atto il sistema di difesa dell’organismo dall’aggressione di patogeni.
Consiglio pratico: Per massimizzare i benefici, inizia l'assunzione in autunno, prima dei sintomi influenzali.
Conclusioni
I nutraceutici rappresentano un approccio scientifico e naturale per rafforzare il sistema immunitario. La chiave è scegliere prodotti di qualità e seguire le indicazioni di dosaggio appropriate. Noi di ScegliNatura® ti consigliamo i seguenti prodotti:
Benessere delle vie respiratorie
Difese immunitarie
Gastro intestinale
Controllo del peso
Depurazione e drenaggio
Disturbi del sonno
Sistema nervoso
Tono ed energia
Microcircolo
Cardiovascolare
Osteo-articolare
Genito-urinario
Donna
Pelle
Capelli e unghie
Vitamine e minerali
Capsule monoplanta
Oli Essenziali
I più venduti
I nuovi arrivi
Armonia Naturale


